招行拉黑644万商户,交易无积分

 
近日,招商银行更新了《零星不累积积分的商户列表》,该名单中的商户目前已经达到644万,比之前增加了近6倍,在名单中的商户消费将没有积分。
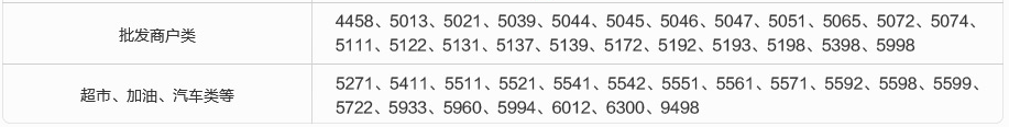
招商银行线下POS交易积分累计规则
以下指定商户类别境内POS交易,累积交易奖励积分。
以下指定商户类别境内POS交易,不累积交易奖励积分:
 

合作/客服微信:baike2999

▼进群加微信:baike2888

点击下方卡片关注支付百科

编辑:小百,转载请注明出处:https://www.paybaike.com/?p=4466

0

扫一扫,分享到微信

猜你喜欢

上一篇

未央今日播报:深圳禁止APP“不全面授权就不让用” 苏宁88亿混改方案落地

下一篇

Airwallex空中云汇CEO兼联合创始人Jack Zhang获墨尔本大学克尔诺纪念奖章

微信公众号

微信公众号